Many P&C carriers have long recognized Ease of Business (EOB) as a strategic differentiator with their independent agents. A recent collaboration with Burand and Associates has confirmed this theory by identifying a significant correlation between the DCC Ease of Business Index and carrier growth.
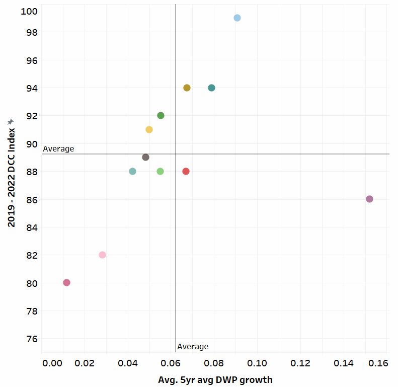
The following chart contains a sample of frequently ranked carriers. Here we illustrate the correlation between our DCC Index score and 5-year Direct Written Premium growth. The one notable outlier (shown in purple) operates using a unique business model that is difficult to replicate.

Correlation between DCC Index and growth in Direct Written Premium
© 2025 Deep Customer Connections, Inc.
It’s no surprise to us. Year after year, 98% of the agents we survey tell us that overall Ease of Business is a critically important factor in choosing which carrier they place business with. In 2024 alone, 98% of 2,884 agents reaffirmed the trend. Yet in that same year, 2/3 of P&C carriers declined in their EOB performance ratings.
Many factors impact an agent’s perceptions of ease of business, and the dynamics causing the erosion can be complex. That’s why DCC benchmarks its clients’ performance in 11 specific factors against their top competitors, using both qualitative metrics and agent stories to give life to the numbers.
if you’d like to have a deeper conversation about the strategic benefits of ease of business with independent agents, contact us.
